Đại học Quốc gia Hà Nội vừa có hướng dẫn thực hiện công tác tuyển sinh đại học chính quy năm 2025.
Năm 2025, đại học này tuyển sinh 21.125 chỉ tiêu đại học chính quy với hơn 150 ngành/chương trình đào tạo, trong đó có 11 chương trình đào tạo mới là các chương trình đào tạo được xây dựng theo hướng quốc tế hóa, nâng chuẩn đầu ra ngoại ngữ, giảng dạy một phần hoặc toàn phần bằng tiếng Anh và thực hiện kiểm định quốc tế, một số chương trình đào tạo về vi mạch bán dẫn.
![]() |
| Thí sinh dự thi tốt nghiệp THPT năm 2024. |
Đại học Quốc gia Hà Nội sử dụng 3 phương thức tuyển sinh chính áp dụng trong tuyển sinh đại học chính quy năm 2025, bao gồm: Thí sinh thuộc đối tượng xét tuyển thẳng, ưu tiên xét tuyển theo Quy chế tuyển sinh của Bộ GD&ĐT và thí sinh thuộc đối tượng ưu tiên xét tuyển theo quy định của Đại học Quốc gia Hà Nội.
Thí sinh sử dụng kết quả kì thi tốt nghiệp THPT năm 2025 đạt ngưỡng bảo đảm chất lượng đầu vào do Đại học Quốc gia Hà Nội quy định;
Thí sinh có kết quả thi đánh giá năng lực (HSA) học sinh THPT do Đại học Quốc gia Hà Nội tổ chức đạt ngưỡng bảo đảm chất lượng đầu quy định (kết quả thi HSA được sử dụng trong vòng 2 năm kể từ ngày thi).
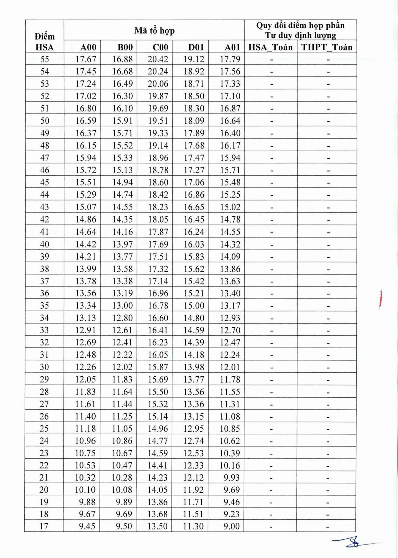
Do quy chế yêu cầu các phương thức xét tuyển phải quy về một thang điểm, để thí sinh có thể hình dung được việc quy đổi kết quả HSA sang điểm thi tốt nghiệp THPT, Viện Đào tạo số và Khảo thí, Đại học Quốc gia Hà Nội đã xây dựng bảng quy đổi dựa trên dữ liệu điểm thi tốt nghiệp THPT 2024 để thí sinh tham khảo.
Bảng quy đổi tham khảo cụ thể:
![]() |
![]() |
![]() |
Đây là bảng quy đổi dựa trên dữ liệu thi tốt nghiệp THPT 2024. Vì vậy khi có kết quả kì thi tốt nghiệp THPT 2025, bảng quy đổi sẽ có sự điều chỉnh phù hợp với phổ điểm thực tế.
Thí sinh phải đạt học lực 8 điểm môn Toán
Ngoài ba phương thức trên, một số đơn vị có chương trình, ngành đào tạo đặc thù hoặc sử dụng đồng thời nhiều phương thức xét tuyển hoặc sử dụng các phương thức xét tuyển khác để xét tuyển cho một ngành hoặc nhóm ngành phải tự xác định quy tắc quy đổi về thang 30 điểm và công bố công khai quy tắc quy đổi, ngưỡng đầu vào và điểm trúng tuyển, điều kiện nhận hồ sơ đăng kí xét tuyển theo nguyên tắc, hướng dẫn của Bộ GD&ĐT.
Riêng đối với phương án xét tuyển kết hợp chứng chỉ ngoại ngữ quốc tế với kết quả học tập cấp THPT, ngoài các điều kiện chung được quy định tại Quy chế tuyển sinh đại học chính quy của Đại học Quốc gia Hà Nội, đơn vị phải bổ sung điều kiện trúng tuyển thí sinh phải đạt tối thiểu 8 điểm môn Toán hoặc điểm 2 môn (Toán, Ngữ văn) đạt tối thiểu 15 trong kỳ thi tốt nghiệp THPT năm 2025.
Các đơn vị đào tạo triển khai thực hiện cách thức quy đổi (nếu sử dụng các phương thức khác ngoài HSA của Đại học Quốc gia Hà Nội) theo Hướng dẫn của Bộ GD&ĐT và công bố rõ trong thông tin tuyển sinh của đơn vị, bảo đảm minh bạch, đúng quy chế, đồng thời tăng cường công tác truyền thông để thí sinh và xã hội biết, yên tâm đăng kí xét tuyển vào các ngành/chương trình đào tạo.
Các đơn vị công bố link tra cứu hoặc bảng quy đổi điểm trúng tuyển theo HSA về điểm trúng tuyển theo điểm thi tốt nghiệp THPT năm 2024 để thí sinh tham khảo.
Đối với các chứng chỉ ngoại ngữ được quy định tại Quy chế thi tốt nghiệp THPT của Bộ GD&ĐT, các đơn vị có thể quy đổi như một môn trong tổ hợp xét tuyển với trọng số tính điểm xét không vượt quá 50%.
Ngoài ra, các đơn vị có thể xem xét cộng điểm (điểm thưởng) với các tổ hợp xét tuyển không có môn ngoại ngữ cho các thí sinh có chứng chỉ tiếng Anh quốc tế IELTS đạt tối thiểu 5.5, TOEFL iBT đạt tối thiểu 72 điểm hoặc các chứng chỉ ngoại ngữ quốc tế khác được Bộ GD&ĐT chấp nhận, đạt trình độ tối thiểu bậc 4 theo Khung năng lực ngoại ngữ 6 bậc dành cho Việt Nam, mức điểm thưởng cụ thể như sau: Bậc 6: cộng tối đa 2,0 điểm; bậc 5: cộng tối đa 1,5 điểm; bậc 4: cộng tối đa 1,0 điểm.
Đối với các đơn vị không xét tuyển độc lập bằng kết quả các kì thi SAT, ACT hoặc chứng chỉ A-Level thì có thể xem xét cộng điểm cho thí sinh đạt kết quả cao trong các kỳ thi SAT, ACT hoặc A-Level với mức điểm cộng không quá 2 điểm (khoảng cách giữa các thang điểm là 0,5).



