Google News

Đề thi Vật lý THPT quốc gia gây tranh cãi

Ngay sau khi Bộ GD&ĐT công bố đáp án chính thức các môn thi THPT, có nhiều ý kiến trái chiều xoay quanh chuyện: Đề bài câu điện xoay chiều trong đề thi môn Vật lý có sai sót?

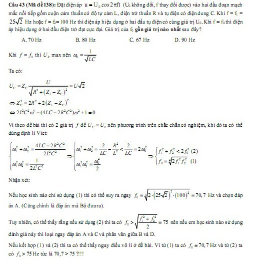
Cụ thể, câu 43, mã đề 138 có đề bài như sau:

Nhiều thành viên quan tâm đến Vật lý trên các diễn đàn Thư viện Vật lý, Facebook Bí quyết luyện thi đại học Vật lý… đặt ra nghi vấn dữ kiện đề bài của f1, f2 bị sai?

Một số ý kiến trên diễn đàn cho rằng: Theo đáp án chính thức của Bộ GD&ĐT, kết quả cần tìm là 70 Hz (đáp án A - phần khoanh đỏ phía trên). Tuy nhiên, khi đối chiếu với điều kiện f1, f2 thì kết quả này không thỏa mãn yêu cầu đề bài.

Cụ thể, một giáo viên dạy Lý tại trường nổi tiếng ở Hà Nội đưa ra lời giải đáp và phân tích:

Một sinh viên tốt nghiệp loại Giỏi chuyên ngành Sư phạm Vật lý Chất lượng cao, Đại học Sư phạm Hà Nội đưa ý kiến:

Trên diễn đàn Vật lý, một giáo viên tại Nghệ An phân tích, trong quá trình làm, với điều kiện đề bài sai sót, học sinh có thể mất nhiều thời gian, bởi vì sẽ không tìm được giá trị cụ thể.

Bên cạnh đó, câu số 47 trong cùng mã đề này, về đồ thị phần điện xoay chiều cũng đang nhận được nhiều ý kiến bình luận khác nhau.

Đáp án câu 43 của Bộ GD&ĐT đưa ra là phương án A.

Bộ GD&ĐT đang xác minh

Trao đổi về vấn đề này, một đại diện Bộ GD&ĐT cho biết, đã nhận được thông tin phản ánh về đề thi môn Vật lý. Bộ đang làm việc với tổ chuyên môn, các chuyên gia của bộ phận ra đề, sớm có thông tin phản hồi.

Trước đó, trong năm 2009, đề thi tại Quy Nhơn đã bị in sai, thiếu hai dấu "-", Bộ GD&ĐT quyết định không chấm điểm câu bị in sai và điểm của câu này sẽ được tính cho 49 câu còn lại.