Công an tỉnh Vĩnh Phúc vừa thông báo kết quả phát hiện, xử lý phạt nguội qua hệ thống camera giám sát giao thông trong tháng 1 vừa qua.
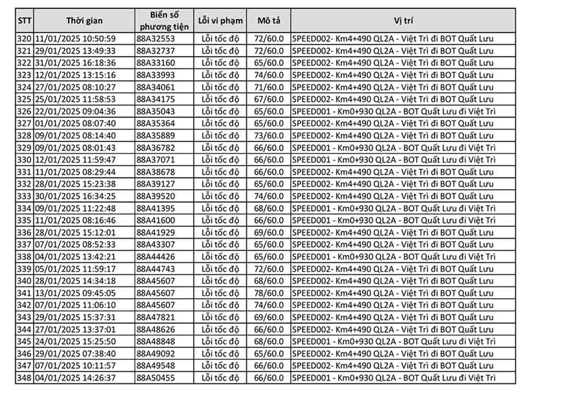
Đáng chú ý, 440 trường hợp vi phạm giao thông bị xử phạt nguội do mắc lỗi chạy quá tốc độ quy định tại đoạn km0+930 (BOT Quất Lưu đi TP Việt Trì, tỉnh Phú Thọ) và km4+490 (TP Việt Trì đi BOT Quất Lưu) trên quốc lộ 2A - đường tránh TP Vĩnh Yên, Vĩnh Phúc.
Đây là đoạn đường có tốc độ tối đa cho phép 60km/h.
![]() |
| Toàn bộ các trường hợp vi phạm tốc độ bị phạt nguội đều trên tuyến quốc lộ 2A (BOT Quất Lưu đi TP Việt Trì và ngược lại) |
Áp dụng theo Nghị định 168/2024 về xử phạt hành chính trong lĩnh vực giao thông đường bộ, các mức xử phạt đối với ô tô chạy quá tốc độ như sau: Quá tốc độ quy định từ 5km/h đến dưới 10km/h bị phạt tiền từ 800 nghìn đồng đến 1 triệu đồng; quá tốc độ quy định từ 10-20km/h bị phạt tiền từ 4-6 triệu đồng và bị trừ 2 điểm giấy phép lái xe.
Mức phạt lái xe ôtô chạy quá tốc độ quy định từ trên 20km/h đến 35km/h là phạt tiền 6-8 triệu đồng và trừ 4 điểm giấy phép lái xe.
Chạy xe ôtô quá tốc độ quy định trên 35km/h bị phạt tiền từ 12-14 triệu đồng và trừ 6 điểm giấy phép lái xe.
Công an tỉnh Vĩnh Phúc yêu cầu chủ phương tiện đến Phòng Cảnh sát giao thông - Công an tỉnh Vĩnh Phúc để làm việc và thực hiện việc nộp phạt theo đúng quy định.
Ngoài ra, chủ phương tiện có thể đến công an cấp huyện nơi cư trú để xử lý phạt nguội.
Khi đến nộp phạt nguội, người dân cần chuẩn bị các giấy tờ sau:
- Đối với xe ôtô: Đăng ký xe, Giấy chứng nhận kiểm định an toàn kỹ thuật và bảo vệ môi trường, Giấy phép lái xe của người vi phạm, Căn cước công dân của người vi phạm (với mỗi loại giấy tờ photo 1 bản).
