16h chiều ngày 28/6, hơn 1 triệu thí sinh cả nước đã hoàn thành bài thi môn Toán, cũng như kết thúc ngày đầu tiên của kỳ thi tốt nghiệp THPT năm 2023.
![]() |
![]() |
![]() |
![]() |
![]() |
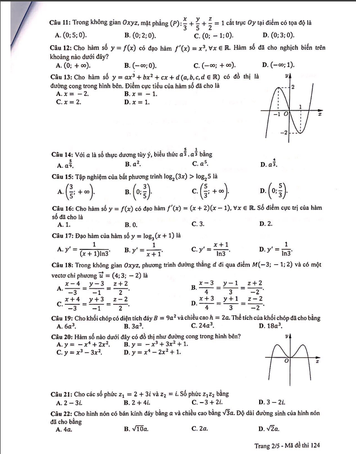
| Đề thi môn Toán mã đề 124 kỳ thi tốt nghiệp THPT năm 2023. |
Kết thúc bài thi môn Toán, bạn Thanh Mai - thí sinh tại điểm thi THPT Huỳnh Thúc Kháng (quận Thanh Xuân, Hà Nội) cho biết: "Mình thấy đề năm nay khá tương đồng với đề minh họa và những đề năm trước. Mình làm bài được tầm 8,5 - 9 điểm. Đây là môn mà mình khá tự tin".
![]() |
| Thí sinh Nghiêm Thị Hà Giang. |
Thí sinh Nghiêm Thị Hà Giang (trường THPT Nguyễn Thị Minh Khai) chia sẻ: “Mình thấy đề Toán phần vận dụng cao phân loại học sinh khá tốt. Mình tự tin mình sẽ đạt được khoảng 8 điểm. So với đề năm ngoái chất lượng đề cũng tương đương”.
Bạn Triệu Thu Trang (trường THPT Nguyễn Huệ) thì đánh giá: “Đề khá dễ thở, vừa sức với mình. Nhưng từ câu 40 trở lên khá khó nhằn, mình nghĩ mình sẽ đạt điểm khá”.
Bạn Vân Hạnh (trường THPT Khoa học Giáo dục) cũng đồng tình và nhận định: “Mình thấy đề vừa sức với bản thân. Mình nghĩ sẽ được điểm khá. Nếu chăm chỉ hơn chút thì mình sẽ đạt kết quả tốt hơn”.
Thí sinh ra khỏi phòng thi sớm nhất tại điểm thi trường THPT Mỹ Đình, bạn Vũ Nguyễn Huy Hoàng (Trần Quốc Vượng, Hà Nội) chia sẻ: “Mình tự tin trên 7,5, đạt điểm như mong muốn. Đề thi vừa sức với mình".
Trong khi đó bạn Nguyễn Thu Huyền (Dương Nội, Hà Nội) đánh giá đề khó hơn so với thi thử, còn ngược lại, bạn Nguyễn Việt Hoàng (Mai Dịch, Hà Nội) tự tin đạt điểm 9 và cho rằng đề có nhiều nội dung hay, thời gian vừa đủ để hoàn thành.
![]() |
| Bạn Việt Hoàng (điểm thi THPT Mỹ Đình). |
Theo dữ liệu từ Bộ GD&ĐT, phổ điểm đề thi Toán những năm gần đây ổn định. Năm ngoái, trong số hơn 980.000 bài thi Toán, điểm trung bình là 6,47, mức điểm mà nhiều thí sinh đạt được nhất là 7,8 điểm. Cả nước có 35 thí sinh đạt điểm 10. Số thí sinh bị điểm dưới trung bình là hơn 186.000, chiếm gần 19% tổng số thí sinh của cả nước.
Kỳ thi tốt nghiệp THPT năm 2023 diễn ra trong 2 ngày 28 - 29/6. Sau khi hoàn thành bài thi môn Ngữ văn và Toán, ngày mai, thí sinh làm bài thi Khoa học tự nhiên hoặc Khoa học xã hội vào buổi sáng, chiều thi Ngoại ngữ.
![]() |







