Google News

Gợi ý đáp án môn Toán trong kỳ thi tuyển sinh lớp 10 THPT của Hà Nội

Gợi ý đáp án môn Toán trong kỳ thi tuyển sinh lớp 10 THPT của Hà Nội
TPO - Hôm nay (18/7), thí sinh dự thi vào lớp 10 THPT công lập năm học 2020 – 2021 của Hà Nội kết thúc môn thi cuối cùng, môn Toán. Chiều nay, những thí sinh đăng ký vào các trường THPT chuyên của Hà Nội sẽ bắt đầu thi môn chuyên.

Đề thi môn Toán hôm nay:

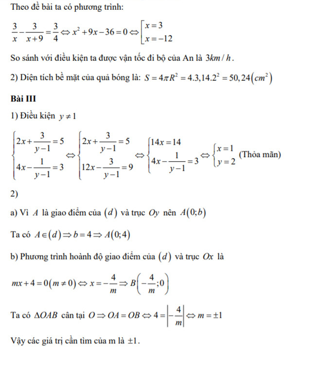
Gợi ý đáp án:
Gợi ý đáp án môn Toán trong kỳ thi tuyển sinh lớp 10 THPT của Hà Nội ảnh 2 
Gợi ý đáp án môn Toán trong kỳ thi tuyển sinh lớp 10 THPT của Hà Nội ảnh 3 
Gợi ý đáp án môn Toán trong kỳ thi tuyển sinh lớp 10 THPT của Hà Nội ảnh 4